引言:稀土永磁发电机(Permanent Magnet Generator 通称PGM)具有高效、高精度、高扭矩相对密度、较好的转距稳定性及低振动与噪声的特征,根据科学设计稀土永磁等效电路构造能获得较高的弱磁特性,在康明斯发电机组商品上具有较高的实用价值。永磁同步发电机获得较快发展,尤其是在柴油发电机组里逐渐逐步取代最常见的沟通交流无刷电机发电机,因为永磁同步发电机的使用性能,目前来说是一种很有前途的高效电机。康明斯公司在这篇文章详细介绍了稀土永磁发电机原理、结构特征、特性参数和数学模型等知识及其测算表达式。
一、永磁同步发电机构造
永磁同步发电机分成正弦波形工作电压的永磁同步发电机和波形工作电压的永磁同步发电机。这儿推荐的主要以三相正弦波形驱动永磁同步发电机。稀土永磁发电机的一般是由电机转子、轴套及电机定子等各个部件组成。其电机定子构造与一般的沟通交流发电机的构造十分相似,外转子电机和交流发电机的主要不一样要在电机转子上面有高质量永磁材料磁场,依据在电机转子上安放永磁材料位置的差异,稀土永磁发电机往往被分成表层式外转子电机和内藏式外转子电机。
1、表层式外转子电机
图1里已经标明了二种表层式转子的d中心线与q轴线的部位,d中心线与发电机的电机转子磁场所属的中心线重叠,q中心线超前的d轴90电角度,即邻近2个磁场的集合中性化中心线。因为在不一样电机转子里的磁极对数不一样,因此q轴与d轴中间的机器角度差时不同类型的,可是电角度的差全是90度。
对于这类表层式外转子电机,永磁材料粘在电机转子环形铁心两侧,因为永磁材料原材料磁化强度与磁密磁化强度贴近,即相对磁导率贴近1,其有效磁密长度是气隙和轴向永磁材料薄厚总数;交直轴等效电路基本上对称性,发电机的凸极率p=Lq/Ld≈1,因此表层式PMSM属于典型的隐极发电机,无凸极效应和磁电式转距;此类发电机交、直轴等效电路的等效磁密都非常大,因此电枢反应非常小,弱磁能力较差,其恒功率弱磁运作范畴一般比较小。因为永磁材料立即暴露于气隙磁场中,因此非常容易去磁,弱磁水平受限制。因为加工工艺简易、成本费用低,运用较广泛,特别是在适合于波形式稀土永磁发电机。
2、内藏式外转子电机
说白了永磁材料埋入转子铁芯内部结构,表面与磁密间有铁磁性物质极靴维护,永磁材料遭受极靴的维护。它的结构如下图2所显示。针对内藏式PMSM其q轴电感器超过d轴电感器,有益于弱磁提速,因为永磁材料埋入转子铁芯内部结构,外转子电机更坚固,便于提升发电机高速旋转的安全系数。内藏式PMSM电机转子等效电路构造包含轴向式、径向式或混合。
(1)轴向式电机转子等效电路
永磁材料放置转子的内部结构,适用高速运转场所;合理磁密比较小,d轴和q轴电枢反应电感比较大,进而存在一定的弱磁提速室内空间。此外,d轴等效电路磁密较q轴等效电路磁密更高,因此发电机的凸极率p=Lq/Ld>1。电机转子交、直轴等效电路不规则的凸极效用所形成的磁电式转距有利于提升发电机的功率和负载能力,并且便于弱磁扩速,提升发电机的恒功率运作范畴。
(2)径向式电机转子等效电路
针对径向式IPMQ的电机转子等效电路构造,邻近2个磁场并接提供一个极距中的磁通量。因此可以得到更大的每极磁通量。当发电机的极对数过多时,该结构更突出。选用径向式结构发电机的磁电式转距在发电机的总体定子电流中的比例可以达到40%。
(3)混合电机转子等效电路
混合构造的PMSM,它结合了轴向式或径向式的优势,但结构与工艺复杂,成本相对高。
轴向式结构的PMSM漏磁指数比较小,不用采用防疫措施,极弧指数易于控制,电机转子强度大,永磁材料不变形。径向式结构的PMSM漏磁指数大,必须采取防疫措施,每极磁通量大,极数大,磁电式转距大。

二、永磁同步发电机优缺点
稀土永磁发电机与自励磁发电机的最大区别是因为它的激磁磁场是由永磁磁铁所产生的,处在发电机部位如下图3所显示。永磁材料在电机中即是磁源,也是等效电路的重要组成部分。永磁材料的磁性能除了与生产厂家的加工工艺有关系,还和永磁材料的形状和尺寸、充磁机的规模和加磁方式相关,实际特性数据库的样本分布非常大。并且永磁材料在电机中所能提供的磁通量和感生电动势还随等效电路其他部分的材料的性能、规格和电机工作状态而改变。同歩沟通交流无刷电机发电机三维模拟图如下图4所显示。
1、优势
(1)用永磁材料替代缠线式同歩发电机电机转子里的励磁绕组,进而免去了励磁线圈、电滑环和炭刷,以电子换相完成无刷电机运作,结构紧凑,运行稳定。
(2)永磁同步发电机的转速与电流频率间持续保持精确的同步关联,操纵电流频率就能控制发电机的转速。
(3)永磁同步发电机具备较硬的机械性能,对因负载的转变所引起的发电机转距的振荡有较强的承受力。
(4)稀土永磁发电机电机转子为电磁铁不用激磁,因而发电机还可以在极低的转速下维持同步运行,启动转矩宽。
(5)永磁同步发电机与多线程发电机对比,无需无功功率励磁电,因此功率因素高,定子电流和电机定子铜损小,工作效率高。
(6)稀土永磁外转子电机的选用,使发电机内部构造设计方案排序得很紧密,容积、净重大大降低。稀土永磁外转子电机简易,还使得电机转子惯性力矩降低,实用性转速比提升,比功率(即输出功率、容积占比)达到一个非常高的值。
(7)构造多元化,适用范围广。稀土永磁式发电机尤其适用于湿冷或尘土多的是恶劣环境下工作中,环境适应性极强。
2、缺陷
(1)温度敏感性:
永磁材料的带磁也会受到温度的影响,假如温度太高,带磁可能降低,进而影响发电机输出性能使用寿命。
(2)费用较高
相较于传统发电机,稀土永磁发电机所使用的磁场原材料价格比较贵,且生产和安装过程需要细致解决,造成其加工和安装成本费也比较高。
(3)没法调整电压:
传统式的沟通发电机能通过激磁调整有不一样的电压与电流导出,而稀土永磁发电机输出电压与电流是通过磁场和转速比所决定的,所以在必须不一样电压与电流导出的场景下,稀土永磁发电机就不是很行得通。
(4)输出功率限定:
在恒功率模式中,稀土永磁发电机的控制比较复杂,自动控制系统费用较高,弱磁能力较差,启动转矩比较有限,输出功率范围较小,受磁材料与工艺限制。
(5)很有可能去磁:
如果使用不当,如果在过高或过低条件下工作中,或者在反向电流所形成的电枢反应影响下,或在猛烈的振动分析下,有可能产生不可逆转去磁,使发电机的功能失效,根本无法应用。

三、发电机运行原理与特点
1、电枢反应
永磁同步发电机带负载时,气隙磁场是永磁材料感生电动势和同步电机感生电动势共同建立的。同步电机感生电动势对气隙磁场有所影响,同步电机感生电动势的基波对气隙磁场产生的影响称之为电枢反应。电枢反应不仅让气隙磁场波型产生崎变,并且还会引起消磁或增磁功效,因而,气隙磁场可能会影响永磁同步发电机的动态特性。
2、工作电压表达式
忽视磁饱和效应危害,永磁同步发电机电压表达式为
U=E₀+ⅠαRα+jⅠdXd+jⅠqXq
式中,U——为同步电机直流电压;
E0——为激磁感应电动势;
Ⅰα——为电枢电流;
Ⅰd——为电枢电流在d轴分量;
Ⅰq——为电枢电流在q轴分量;
Rα——为电枢绕组电阻器;
Xd——为直轴同歩电感;
Xq——为交轴同歩电感。
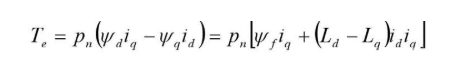
3、输出功率与转距
当永磁同步发电机具备落后功率因素并确定同步电机电阻的危害,发电机从电力网输入功率为
式中,cosφ——为发电机功率角。
发电机的电磁功率为:
Ρe=Ρ1-Ρcuα
式中,Ρcuα——为发电机的电枢绕组铜损。
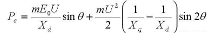
假如忽视同步电机电阻的危害,则
侧式的前半部分称之为基本上电磁功率,由稀土永磁电磁场与同步电机电磁场相互影响造成;后半部因凸极效用造成,称之为额外电磁功率或磁电式输出功率。
电磁功率与输出功率角的关系称之为永磁同步发电机的功角特点。
4、动态特性
永磁同步发电机的动态特性通常是机械性能与工作特点。
(1)机械性能
机械性能是为了垂直于横坐标的平行线,调整电流频率来调整发电机转速比时,转速比将严格与工作频率成正比例转变。永磁同步发电机机械性能趋势图如下图5所显示。
(2)工作中特点
工作中特点指当电源电流稳定时,发电机的实际功率、电枢电流、高效率、功率因素等随功率变动的关联。永磁同步发电机工作中特点趋势图如下图6图示。

四、发电机的数学分析模型
创建永磁同步电动机(Permanent Magnet Synchronous Motor, PMSM)的数学分析模型,包含持续域模型和离散变量域型,也包含三相ABC平面坐标、二相静止不动平面坐标、二相转动dq平面坐标中的实体模型,并以综合性矢量素材的角度表述他的相互转换关联。
1、假设标准
这里创建模型根据下列前提假设:
(1)等效电路不饱和脂肪,发电机电感器不会受到电流量变化影响,不计入涡旋和磁滞损耗;
(2)忽视齿根、换相流程和电枢反应产生的影响;
(3)发电机的自感电动势是正弦函数的;
(4)发电机各相绕组电阻器相同;
(5)电机转子上无阻尼绕阻,永磁材料都没有阻尼作用。
2、静止不动座标
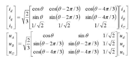
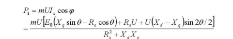
三相绕组的静止不动平面坐标(ABC)工作电压方程式为:
根据旋转变换,能将永磁同步发电机在ABC三相静止不动平面坐标中的交流电压量转换到电机转子平面坐标下,如下图5所显示。由此可以得:
定子电流方程式为:
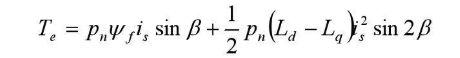
与电机定子bt链接空间矢量同相位,且电机定子bt链接与永磁材料所产生的气隙磁场之间的空间角度,则:
id=iscosβ
iq=issinβ
上式带入侧式获得:
由侧式能够得知,永磁同步发电机输出扭矩其中包含两个分量,第一项是通过两电磁场互相作用所形成的定子电流,第二项是通过凸极效用造成,并和二轴电感器参数误差相匹配的磁电式转距。稀土永磁发电机d中心线和q轴线平面图如下图6图示。
3、PMSM综合矢量模型
综合性矢量素材一开始是来源于电磁场叠加定理,将场景中的bt链接矢量素材开展矢量素材生成,获得磁密总bt链接。为了把方程式扩展到综合性矢量素材的形式下,针对工作电压、电流量等参量,也提出综合性矢量素材这个概念。
4、PMSM的离散变量域模型
在电流量预测控制、快速低载波比操纵等场所,常用到PMSM的离散时间实体模型。对持续数据进行离散化的方法有很多,包含前向欧拉法,改善欧拉法,双线性变换法,z变换法等方式。
汇总:
稀土永磁发电机与普通发电机的内部结构存在较大差异。一般而言,稀土永磁发电机会使用永磁材料造成电磁场,而一般发电机就需要通过外部激磁造成电磁场。因而,稀土永磁发电机内部构件比较少,构造较为简单,维护费用相对较低。虽然稀土永磁发电机与普通发电机在材料、原理、发电能力、稳定性和维护成本等多个方面存在一定差异,但它们是将机械动能转化为电能的重要设备。总而言之,稀土永磁发电机从技术上比普通的发电机更成熟,已经成为当前生产发电领域内的热门技术之一,随着技术的进一步发展和完善,稀土永磁发电机的使用范围将进一步扩展。